Stokda 2/3QGD chuqur quduqlar uchun suv osti nasosi yuqori sifatli nasos echimlariga tez va qulay foydalanishni ta'minlab, darhol yetkazib berishga tayyor. Identifikator* 2 kg*2: Quduq diametri: 52mm (2")* QG: Nasos nomi*D: bir fazali vosita (Dsiz uch fazali)* 1: Imkoniyat (m³/soat)* 60: suv bosimi (m)* 0,25: Dvigatel quvvati (KVt)
1. Quduqlardan yoki suv omborlaridan suv berish uchun.
2. Maishiy, fuqarolik va sanoat maqsadlarida foydalanish uchun.
3. Bog'da foydalanish va sug'orish uchun.
1. Maksimal suyuqlik harorati + 35 ° C ga yetishi mumkin.
2 Maksimal qum miqdori: 0,25%.
3 Maksimal sho'ng'in chuqurligi: 100 m.
4. Minimal quduq diametri: 2".
1. Ishga tushirishni boshqarish qutisi yoki raqamli avtomatik boshqaruv qutisi bilan jihozlangan
2. NEMA hajmi standartlari
3. Koson kuchlanishiga asoslangan nasos dizayni
4. Bir nechta o'ralgan yoki to'liq yopiq ekranli elektr motor
5. Bir fazali: 220V - 240V / 50Hz
6. Uch fazali: 380V - 415V / 50Hz
1. Maxsus mexanik muhr
2. Boshqa kuchlanish yoki chastotalar 60Hz
| Parashutchilar shkalasi | |||||
| Model | A | B | C | D | E |
| 2QGD1-60-0,25 | 688 | 520 | 168 | 0,5" | f50 |
| 3QGD1,5-60-0,25 | 540 | 365 | 195 | 1" | f73 |
| 3QGD1.7-80-0.37 | 580 | 385 | 195 | 1" | f73 |
| 3QGD1.7-105-0.55 | 610 | 415 | 195 | 1" | f73 |
| 3QGD2-115-0,75 | 652 | 445 | 207 | 1" | f73 |
| Model | P2 |
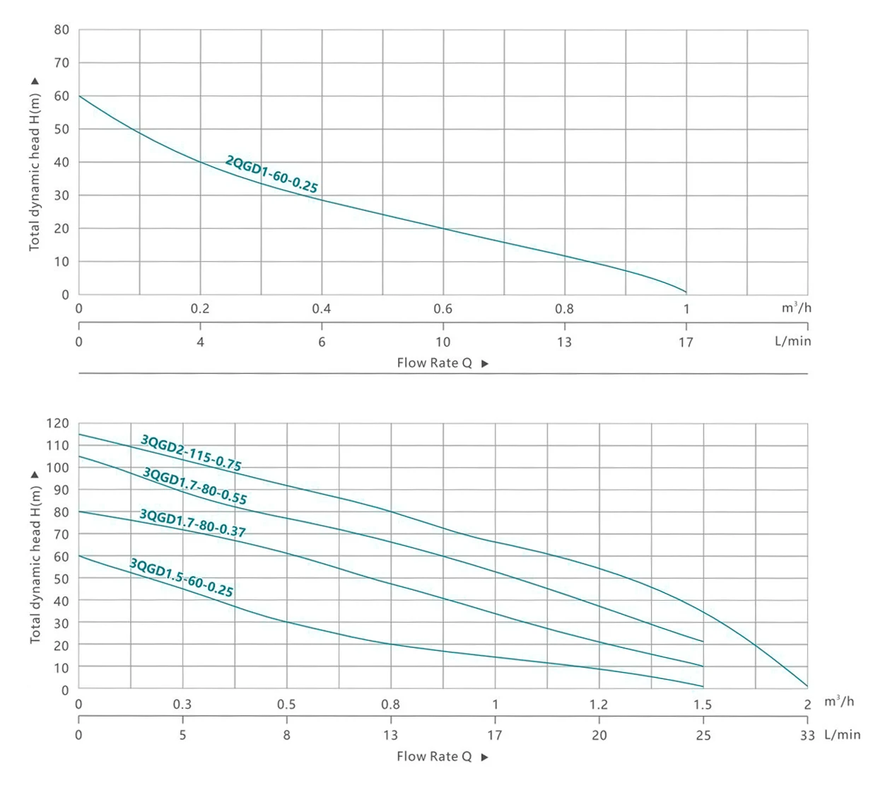
Q L/min m³/soat |
0 | 4 | 6 | 10 | 13 | 17 | |||||||
| 1~220v/240v | KVt | HP | |||||||||||||
| 0 | 0.2 | 0.4 | 0.6 | 0.8 | 1 | ||||||||||
| 2QGD1-60-0,25 | 0.25 | 0.33 | H(m) | 60 | 40 | 29 | 20 | 12 | 1 | ||||||
| Model | P2 |
Q L/min m³/soat |
0 | 5 | 8 | 13 | 17 | 20 | 25 | 33 | |||||
| 1~220v/240v | KVt | HP | |||||||||||||
| 0 | 0.3 | 0.5 | 0.8 | 1 | 1.2 | 1.5 | 2 | ||||||||
| 3QGD1,5-60-0,25 | 0.25 | 0.33 | H(m) | 60 | 45 | 30 | 20 | 12 | 9 | 1 | |||||
| 3QGD1.7-80-0.37 | 0.37 | 0.5 | 80 | 72 | 61 | 47 | 34 | 21 | 10 | ||||||
| 3QGD1.7-105-0.55 | 0.55 | 0.75 | 105 | 90 | 78 | 64 | 52 | 38 | 21 | ||||||
| 3QGD2-115-0,75 | 0.75 | 1.0 | 115 | 103 | 92 | 80 | 67 | 53 | 36 | 1 | |||||
| Raqamlar | Ism |
| 1 | Siqish bahori |
| 2 | Yakuniy qopqoq |
| 3 | kengaytirish ushlagichi |
| 4 | Imkoniyat |
| 5 | Rulman |
| 6 | Aloqa |
| 7 | motor rotori |
| 8 | Mexanik muhr |
| 9 | elektr motor statori |
| 10 | Elektr simi |
| 11 | Vida |
| 12 | Kir yuvish mashinasi |
| 13 | "O" shaklidagi muhrlangan halqa |
| 14 | Yoqilg'i kamerasi |
| 15 | "O" shaklidagi muhrlangan halqa |
| 16 | Vida |
| 17 | Ikki boshli murvat |
| 18 | Kir yuvish mashinasi |
| 19 | Yong'oq |
| 20 | Mahkamlash halqasi |
| 21 | Kir yuvish mashinasi |
| 22 | Qum qopqog'i |
| 23 | Kabelni himoya qiluvchi vtulka |
| 24 | Vida |
| 25 | Qanot |
| 26 | Nasos korpusi |
| 27 | Kardannaya mufta |
| 28 | Vida |
| 29 | Qopqoq |
| 30 | Kauchuk stator |
| 31 | Ring |
| 32 | Chiqish xonasi |
| 33 | Mandal |
1. Quvvat kalitlari
2. Kassetalarni avtomatik boshqarish
3. Quvur liniyasi
4. Vana
5. Shlangi
6. Statik daraja
7. Yuqori qutb
8. Kabel
9. Xo'sh
10. Aralashtirish darajasi
11. O'rta tayoq
12. Nasos korpusi
13. Pastki qutb
14. Suv osti elektr motorlari
| hajmi | Voltaj(v) | Quvvat (kw) | Kabel kesimi (mm²) | 0,7 mm² | 1 mm² | 1,5 mm² | 2 mm² | 2,5 mm² | 3 mm² | 4 mm² | 6 mm² | 10 mm² | 16 mm² | 25 mm² | 35 mm² | 50 mm² |
| 4" | 220 | 0.37 | Kabel uzunligi (m) | 50 | 80 | 100 | ||||||||||
| 0.55 | 35 | 55 | 80 | 105 | 130 | |||||||||||
| 0.75 | 20 | 35 | 55 | 75 | 90 | 110 | 150 | |||||||||
| 0.95 | 32 | 52 | 70 | 85 | 105 | 140 | ||||||||||
| 1.1 | 30 | 48 | 60 | 79 | 100 | 127 | 190 | |||||||||
| 1.5 | 25 | 34 | 50 | 57 | 80 | 92 | 137 | 228 | ||||||||
| 1.8 | 23 | 32 | 48 | 55 | 78 | 90 | 135 | 226 | ||||||||
| 2.2 | 22 | 30 | 43 | 50 | 68 | 102 | 170 | 230 | ||||||||
| 3.0 | 25 | 30 | 45 | 60 | 80 | 120 | 200 | 330 | ||||||||
| 3.5 | 25 | 30 | 45 | 60 | 100 | 180 | 290 | |||||||||
| 4.0 | 25 | 35 | 55 | 90 | 150 | 220 | 300 |
| hajmi | Voltaj(v) | Quvvat (kw) | Kabel kesimi (mm²) | 0,7 mm² | 1 mm² | 1,5 mm² | 2 mm² | 2,5 mm² | 3 mm² | 4 mm² | 6 mm² | 10 mm² | 16 mm² | 25 mm² | 35 mm² | 50 mm² |
| 4" | 380 | 0.37 | Kabel uzunligi (m) | 200 | 315 | |||||||||||
| 0.55 | 100 | 210 | 320 | |||||||||||||
| 0.75 | 80 | 165 | 280 | |||||||||||||
| 1.1 | 120 | 180 | 250 | 308 | ||||||||||||
| 1.5 | 90 | 150 | 200 | 250 | 300 | 400 | ||||||||||
| 2.2 | 65 | 114 | 150 | 191 | 250 | 305 | 457 | |||||||||
| 6" | 3.0 | 77 | 100 | 128 | 170 | 205 | 307 | 390 | ||||||||
| 4.0 | 61 | 80 | 102 | 120 | 153 | 244 | 406 | |||||||||
| 5.5 | 47 | 60 | 70 | 90 | 110 | 165 | 312 | |||||||||
| 7.5 | 65 | 80 | 130 | 200 | 320 | |||||||||||
| 9.2 | 72 | 108 | 178 | 282 | 432 | |||||||||||
| 11 | 63 | 94 | 155 | 246 | 370 | |||||||||||
| 13 | 78 | 129 | 205 | 314 | ||||||||||||
| 15 | 69 | 114 | 180 | 277 | ||||||||||||
| 18.5 | 55 | 91 | 145 | 222 | 305 | |||||||||||
| 22 | 49 | 81 | 128 | 196 | 290 | |||||||||||
| 25 | 68 | 107 | 165 | 226 | 314 | |||||||||||
| 30 | 60 | 95 | 145 | 200 | 275 | |||||||||||
| 37 | 52 | 82 | 125 | 170 | 234 | |||||||||||
| 45.0 | 45 | 71 | 108 | 147 | 203 |
2.5SDM zanglamaydigan po'latdan yasalgan chuqur quduq pompasi
3SDM zanglamaydigan po'latdan yasalgan chuqur quduq pompasi
3.5SDM zanglamaydigan po'latdan yasalgan chuqur quduqli nasos
4SDM zanglamaydigan po'latdan yasalgan chuqur quduq pompasi
2SDM zanglamaydigan po'latdan yasalgan chuqur quduq pompasi
6SR 6'' zanglamaydigan po'latdan yasalgan chuqur quduqli nasos