Identifikatsiya kodiTurli ilovalarning o'ziga xos ehtiyojlari bo'lishi mumkinligini tushunamiz, shuning uchun biz maxsus nasos variantlarini ham taklif qilamiz. Bu o'ziga xos o'lcham, sig'im yoki boshqa moslashtirilgan xususiyatlar bo'ladimi, ZEN brendi chuqur quduqlar uchun 3,5/4QGD suv osti nasosimizni sizning aniq spetsifikatsiyalaringizga moslashtira oladi.* 3,5QG* 3,5: quduq diametri: 88 mm (3,5 ")*QG: Nasos nomi* D: bitta dvigatel (uch fazali D)* 1: Imkoniyat (m³/soat)* 50: bosh (m)* 0,37: Dvigatel quvvati (KVt)
1. Quduqlardan yoki suv omborlaridan suv berish uchun.
2. Maishiy, fuqarolik va sanoat maqsadlarida foydalanish uchun.
3. Bog'da foydalanish va sug'orish uchun.
1. Maksimal suyuqlik harorati + 35 ° C gacha
2 Maksimal qum miqdori: 0,25%.
3 Maksimal sho'ng'in chuqurligi: 100 m.
4. Minimal quduq diametri: 3,5 ".
Bir nechta o'ralgan yoki to'liq yopiq ekranli elektr motor
Uch faza: 380V - 415V / 50Hz
Bir fazali: 220V - 240V / 50Hz
Ishga tushirishni boshqarish qutisi yoki raqamli avtomatik boshqaruv qutisi bilan jihozlangan
Nasos korpusdagi stressni bartaraf etish uchun mo'ljallangan
NEMA hajmi standartlari
Maxsus mexanik muhr
Boshqa kuchlanish yoki chastotalar 60 Hz
| Parashutchilar shkalasi | |||||
| Model | A | B | C | D | E |
| 3,5QGD1-50-0,37 | 580 | 382 | 198 | 1" | f85 |
| 3,5QGD1-60-0,5 | 606 | 392 | 214 | 1" | f85 |
| 3,5QGD1,8-50-0,75 | 621 | 407 | 214 | 1" | f85 |
| 4QGD1.2-50-0.37 | 583 | 343 | 240 | 1" | f95 |
| 4QGD1.2-60-0.55 | 647 | 363 | 284 | 1" | f95 |
| 4QGD1.2-100-0.75 | 667 | 383 | 284 | 1" | f95 |
| 4QGD1.5-120-1.1 | 737 | 453 | 284 | 1" | f95 |
| 4QGD1,8-50-0,55 | 609 | 363 | 246 | 1" | f95 |
| 4QGD1.8-80-0.75 | 667 | 383 | 284 | 1" | f95 |
| Model | P2 |
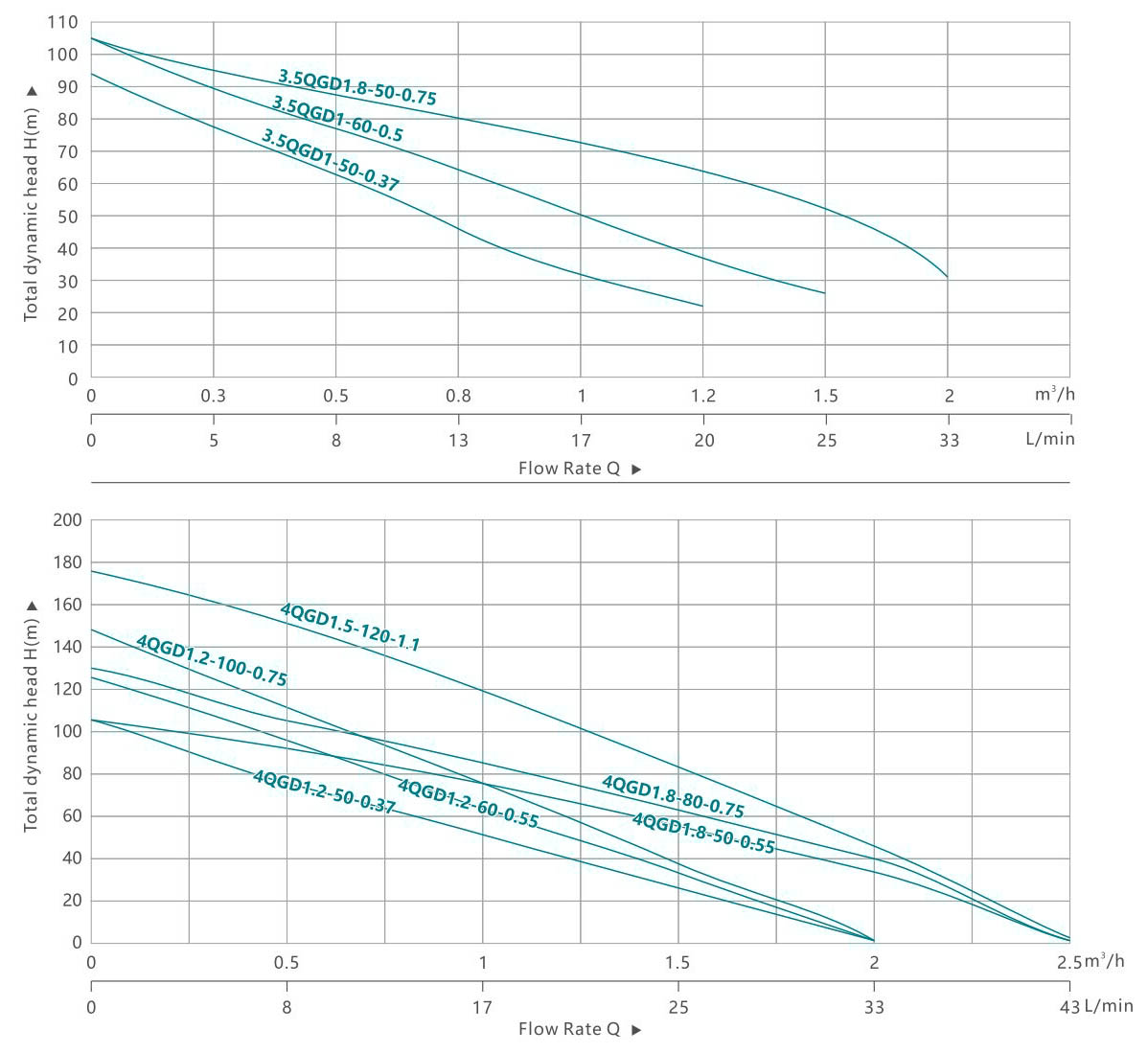
Q L/min m³/soat |
0 | 5 | 8 | 13 | 17 | 20 | 25 | 33 | |||||
| 1~220v/240v | KVt | HP | |||||||||||||
| 0 | 0.3 | 0.5 | 0.8 | 1 | 1.2 | 1.5 | 2 | ||||||||
| 3,5QGD1-50-0,37 | 0.37 | 0.5 | H(m) | 93 | 74 | 64 | 46 | 33 | 22 | 1 | |||||
| 3,5QGD1-60-0,5 | 0.5 | 0.75 | 105 | 86 | 77 | 62 | 51 | 45 | 28 | 1 | |||||
| 3,5QGD1,8-50-0,75 | 0.75 | 1.0 | 105 | 95 | 88 | 78 | 73 | 62 | 57 | 32 | |||||
| kiyinish | P2 |
Q L/min m³/soat |
0 | 8 | 17 | 25 | 33 | 43 | |||||||
| 1~220v/240v | KVt | HP | |||||||||||||
| 0 | 0.5 | 1 | 1.5 | 2 | 2.5 | ||||||||||
| 4QGD1.2-50-0.37 | 0.37 | 0.5 | H(m) | 105 | 77 | 52 | 27 | 1 | |||||||
| 4QGD1.2-60-0.55 | 0.55 | 0.75 | 125 | 96 | 62 | 33 | 1 | ||||||||
| 4QGD1.2-100-0.75 | 0.75 | 1.0 | 148 | 112 | 76 | 39 | 1 | ||||||||
| 4QGD1.5-120-1.1 | 1.1 | 1.5 | 177 | 150 | 120 | 83 | 45 | 2 | |||||||
| 4QGD1,8-50-0,55 | 0.55 | 0.75 | 105 | 90 | 75 | 58 | 34 | 1 | |||||||
| 4QGD1.8-80-0.75 | 0.75 | 1.0 | 130 | 106 | 85 | 62 | 40 | 1 | |||||||
| Raqamlar | Ism |
| 1 | Siqish bahori |
| 2 | Yakuniy qopqoq |
| 3 | kengaytirish ushlagichi |
| 4 | Imkoniyat |
| 5 | Rulman |
| 6 | Aloqa |
| 7 | motor rotori |
| 8 | Mexanik muhr |
| 9 | elektr motor statori |
| 10 | Elektr simi |
| 11 | Vida |
| 12 | Kir yuvish mashinasi |
| 13 | "O" shaklidagi muhrlangan halqa |
| 14 | Yoqilg'i kamerasi |
| 15 | "O" shaklidagi muhrlangan halqa |
| 16 | Vida |
| 17 | Ikki boshli murvat |
| 18 | Kir yuvish mashinasi |
| 19 | Yong'oq |
| 20 | Mahkamlash halqasi |
| 21 | Kir yuvish mashinasi |
| 22 | Qum qopqog'i |
| 23 | Kabelni himoya qiluvchi vtulka |
| 24 | Vida |
| 25 | Qanot |
| 26 | Nasos korpusi |
| 27 | Kardan debriyaj |
| 28 | Vida |
| 29 | Qopqoq |
| 30 | Kauchuk stator |
| 31 | Ring |
| 32 | Chiqish xonasi |
| 33 | Mandal |
1. Quvvat kalitlari
2. Kassetalarni avtomatik boshqarish
3. Quvur liniyasi
4. Vana
5. Shlangi
6. Statik daraja
7. Yuqori qutb
8. Kabel
9. Xo'sh
10. Aralashtirish darajasi
11. O'rta tayoq
12. Nasos korpusi
13. Pastki qutb
14. Suv osti elektr motorlari
| hajmi | Voltaj(v) | Quvvat (kw) | Kabel kesimi (mm²) | 0,7 mm² | 1 mm² | 1,5 mm² | 2 mm² | 2,5 mm² | 3 mm² | 4 mm² | 6 mm² | 10 mm² | 16 mm² | 25 mm² | 35 mm² | 50 mm² |
| 4" | 220 | 0.37 | Kabel uzunligi (m) | 50 | 80 | 100 | ||||||||||
| 0.55 | 35 | 55 | 80 | 105 | 130 | |||||||||||
| 0.75 | 20 | 35 | 55 | 75 | 90 | 110 | 150 | |||||||||
| 0.95 | 32 | 52 | 70 | 85 | 105 | 140 | ||||||||||
| 1.1 | 30 | 48 | 60 | 79 | 100 | 127 | 190 | |||||||||
| 1.5 | 25 | 34 | 50 | 57 | 80 | 92 | 137 | 228 | ||||||||
| 1.8 | 23 | 32 | 48 | 55 | 78 | 90 | 135 | 226 | ||||||||
| 2.2 | 22 | 30 | 43 | 50 | 68 | 102 | 170 | 230 | ||||||||
| 3.0 | 25 | 30 | 45 | 60 | 80 | 120 | 200 | 330 | ||||||||
| 3.5 | 25 | 30 | 45 | 60 | 100 | 180 | 290 | |||||||||
| 4.0 | 25 | 35 | 55 | 90 | 150 | 220 | 300 |
| hajmi | Voltaj(v) | Quvvat (kw) | Kabel kesimi (mm²) | 0,7 mm² | 1 mm² | 1,5 mm² | 2 mm² | 2,5 mm² | 3 mm² | 4 mm² | 6 mm² | 10 mm² | 16 mm² | 25 mm² | 35 mm² | 50 mm² |
| 4" | 380 | 0.37 | Kabel uzunligi (m) | 200 | 315 | |||||||||||
| 0.55 | 100 | 210 | 320 | |||||||||||||
| 0.75 | 80 | 165 | 280 | |||||||||||||
| 1.1 | 120 | 180 | 250 | 308 | ||||||||||||
| 1.5 | 90 | 150 | 200 | 250 | 300 | 400 | ||||||||||
| 2.2 | 65 | 114 | 150 | 191 | 250 | 305 | 457 | |||||||||
| 6" | 3.0 | 77 | 100 | 128 | 170 | 205 | 307 | 390 | ||||||||
| 4.0 | 61 | 80 | 102 | 120 | 153 | 244 | 406 | |||||||||
| 5.5 | 47 | 60 | 70 | 90 | 110 | 165 | 312 | |||||||||
| 7.5 | 65 | 80 | 130 | 200 | 320 | |||||||||||
| 9.2 | 72 | 108 | 178 | 282 | 432 | |||||||||||
| 11 | 63 | 94 | 155 | 246 | 370 | |||||||||||
| 13 | 78 | 129 | 205 | 314 | ||||||||||||
| 15 | 69 | 114 | 180 | 277 | ||||||||||||
| 18.5 | 55 | 91 | 145 | 222 | 305 | |||||||||||
| 22 | 49 | 81 | 128 | 196 | 290 | |||||||||||
| 25 | 68 | 107 | 165 | 226 | 314 | |||||||||||
| 30 | 60 | 95 | 145 | 200 | 275 | |||||||||||
| 37 | 52 | 82 | 125 | 170 | 234 | |||||||||||
| 45.0 | 45 | 71 | 108 | 147 | 203 |
2.5SDM zanglamaydigan po'latdan yasalgan chuqur quduq pompasi
3SDM zanglamaydigan po'latdan yasalgan chuqur quduq pompasi
3.5SDM zanglamaydigan po'latdan yasalgan chuqur quduqli nasos
4SDM zanglamaydigan po'latdan yasalgan chuqur quduq pompasi
2SDM zanglamaydigan po'latdan yasalgan chuqur quduq pompasi
6SR 6'' zanglamaydigan po'latdan yasalgan chuqur quduqli nasos