Ishonchli va yuqori sifatli 6SP chuqurlikdagi suv osti nasosi uchun ZN brendini tanlang. Identifikator*6SP*6: Quduq diametri: 148mm (6")* SP: zanglamaydigan po'lat* 30: Imkoniyat (m³/soat)* 03: Sahna* 3.0: Dvigatel quvvati (KVt)
6SP chuqur quduqli suv osti nasosi
1. Quduqlardan yoki suv omborlaridan suv berish uchun.
2. Maishiy, fuqarolik va sanoat maqsadlarida foydalanish uchun.
3. Bog'da foydalanish va sug'orish uchun.
1. Maksimal suyuqlik harorati + 35 ° C ga yetishi mumkin.
2. Qumning maksimal miqdori: 0,25%.
3. Maksimal sho'ng'in chuqurligi: 100m.
4. Quduqning minimal diametri: 6".
1. Bir nechta o'ralgan yoki to'liq yopiq ekranli elektr motor
2. Uch fazali: 380V - 415V / 50Hz
3. Ishga tushirishni boshqarish qutisi yoki raqamli avtomatik boshqaruv qutisi bilan jihozlangan
4. Nasos korpus tarangligi yordamida ishlab chiqilgan
5. NEMA hajmi standartlari
1. Maxsus mexanik muhr
2. Boshqa kuchlanish yoki chastotalar 60Hz
| Model | P2 | Etkazib berish n = 2850 rpm | |||||||||||
| 3~380v/415v | KVt | HP |
Q L/min m³/soat |
0 | 167 | 250 | 333 | 417 | 500 | 583 | 667 | 750 | 800 |
| 0 | 10 | 15 | 20 | 25 | 30 | 35 | 40 | 45 | 46 | ||||
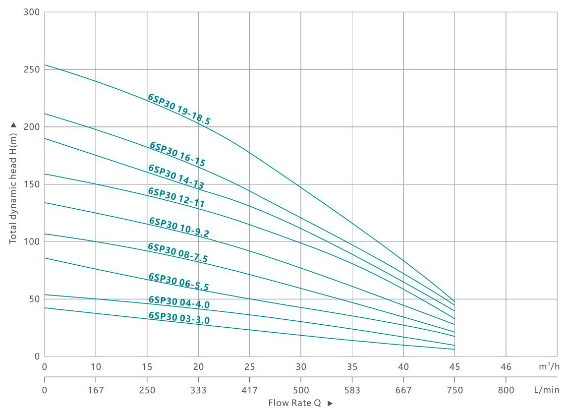
| 6SP30 03-3.0 | 3.0 | 4.0 | H(m) | 40 | 38 | 35 | 32 | 28 | 23 | 18 | 11 | 8 | 3 |
| 6SP30 04-4.0 | 4.0 | 5.5 | 53 | 50 | 46 | 42 | 38 | 31 | 24 | 14 | 10 | 4 | |
| 6SP30 06-5.5 | 5.5 | 7.5 | 79 | 75 | 69 | 64 | 56 | 47 | 36 | 22 | 16 | 5 | |
| 6SP30 08-7.5 | 7.5 | 10 | 106 | 100 | 92 | 85 | 75 | 62 | 48 | 29 | 21 | 8 | |
| 6SP30 10-9.2 | 9.2 | 12.5 | 132 | 125 | 115 | 106 | 94 | 78 | 60 | 36 | 26 | 9 | |
| 6SP30 12-11 | 11 | 15 | 158 | 150 | 138 | 127 | 113 | 94 | 72 | 43 | 31 | 10 | |
| 6SP30 14-13 | 13 | 17.5 | 185 | 175 | 161 | 148 | 132 | 109 | 84 | 50 | 36 | 12 | |
| 6SP30 16-15 | 15 | 20 | 211 | 200 | 184 | 170 | 150 | 125 | 96 | 58 | 42 | 13 | |
| 6SP30 19-18.5 | 18.5 | 25 | 251 | 238 | 219 | 201 | 179 | 148 | 114 | 68 | 49 | 14 | |
| Model | P2 | Etkazib berish n = 2850 rpm | |||||||||||
| 3~380v/415v | KVt | HP |
Q L/min m³/soat |
0 | 333 | 417 | 583 | 667 | 767 | 833 | 917 | 1000 | 1100 |
| 0 | 20 | 25 | 35 | 40 | 46 | 50 | 55 | 60 | 71 | ||||
| 6SP46 02-3.0 | 3.0 | 4.0 | H(m) | 27 | 24 | 22 | 20 | 19 | 18 | 16 | 15 | 14 | 4 |
| 6SP46 03A-4.0 | 4.0 | 5.5 | 37 | 34 | 31 | 27 | 25 | 21 | 19 | 16 | 12 | 4 | |
| 6SP46 03-5.5 | 5.5 | 7.5 | 40 | 36 | 33 | 30 | 29 | 26 | 24 | 23 | 21 | 5 | |
| 6SP46 05-7.5 | 7.5 | 10 | 66 | 60 | 55 | 50 | 48 | 44 | 40 | 38 | 35 | 6 | |
| 6SP46 06-9.2 | 9.2 | 12.5 | 79 | 72 | 66 | 60 | 57 | 53 | 48 | 45 | 42 | 7 | |
| 6SP46 07-11 | 11 | 15 | 92 | 84 | 77 | 70 | 67 | 61 | 56 | 53 | 49 | 8 | |
| 6SP46 08-13 | 13 | 17.5 | 106 | 96 | 88 | 80 | 76 | 70 | 64 | 60 | 56 | 9 | |
| 6SP46 10-15 | 15 | 20 | 132 | 120 | 110 | 100 | 95 | 88 | 80 | 75 | 70 | 10 | |
| 6SP46 12-18.5 | 18.5 | 25 | 158 | 144 | 132 | 120 | 114 | 105 | 96 | 90 | 84 | 12 | |
| Model | P2 | Etkazib berish n = 2850 rpm | |||||||||||
| 3~380v/415v | KVt | HP |
Q L/min m³/soat |
0 | 333 | 500 | 667 | 750 | 833 | 917 | 1000 | 1167 | 1333 |
| 0 | 20 | 30 | 40 | 45 | 50 | 55 | 60 | 70 | 80 | ||||
| 6SP60 02-4.0 | 4.0 | 5.5 | H(m) | 28 | 26 | 24 | 22 | 21 | 19 | 17 | 16 | 11 | 3 |
| 6SP60 03-5.5 | 5.5 | 7.5 | 42 | 39 | 36 | 34 | 31 | 29 | 26 | 23 | 17 | 4 | |
| 6SP60 04-7.5 | 7.5 | 10 | 56 | 52 | 48 | 46 | 43 | 38 | 34 | 31 | 22 | 5 | |
| 6SP60 05-9.2 | 9.2 | 12.5 | 70 | 65 | 60 | 55 | 52 | 48 | 43 | 39 | 28 | 6 | |
| 6SP60 06-11 | 11 | 15 | 84 | 78 | 72 | 67 | 63 | 57 | 51 | 47 | 33 | 7 | |
| 6SP60 07-13 | 13 | 17.5 | 98 | 91 | 84 | 78 | 73 | 67 | 60 | 55 | 39 | 8 | |
| 6SP60 08-15 | 15 | 20 | 112 | 104 | 96 | 89 | 84 | 76 | 68 | 62 | 44 | 9 | |
| 6SP60 09-18.5 | 18.5 | 25 | 126 | 117 | 108 | 100 | 94 | 86 | 77 | 70 | 50 | 10 | |
| Parashutchilar shkalasi | |||||
| Model | A | B | C | D | E |
| 6SP30 03-3.0 | 1082 | 482 | 600 | 3"-4" | f145 |
| 6SP30 04-4.0 | 1212 | 502 | 710 | 3"-4" | f145 |
| 6SP30 06-5.5 | 1496 | 562 | 934 | 3"-4" | f145 |
| 6SP30 08-7.5 | 1772 | 612 | 1160 | 3"-4" | f145 |
| 6SP30 10-9.2 | 2072 | 687 | 1385 | 3"-4" | f145 |
| 6SP30 12-11 | 2342 | 732 | 1610 | 3"-4" | f145 |
| 6SP30 14-13 | 2612 | 782 | 1830 | 3"-4" | f145 |
| 6SP30 16-15 | 2891 | 837 | 2054 | 3“-4” | f145 |
| 6SP30 19-18.5 | 3247 | 857 | 2390 | 3"-4" | f145 |
| 6SP46 02-3.0 | 970 | 482 | 488 | 3"-4" | f145 |
| 6SP46 03A-4.0 | 1102 | 502 | 600 | 3"-4" | f145 |
| 6SP46 03-5.5 | 1162 | 562 | 600 | 3"-4" | f145 |
| 6SP46 05-7.5 | 1434 | 612 | 822 | 3"-4" | f145 |
| 6SP46 06-9.2 | 1621 | 687 | 934 | 3“-4” | f145 |
| 6SP46 07-11 | 1780 | 732 | 1048 | 3"-4" | f145 |
| 6SP46 08-13 | 1942 | 782 | 1160 | 3"-4" | f145 |
| 6SP46 10-15 | 2222 | 837 | 1385 | 3"-4" | f145 |
| 6SP46 12-18.5 | 2467 | 857 | 1610 | 3"-4" | f145 |
| 6SP60 02-4.0 | 998 | 502 | 496 | 4" | f145 |
| 6SP60 03-5.5 | 1170 | 562 | 608 | 4" | f145 |
| 6SP60 04-7.5 | 1332 | 612 | 720 | 4" | f145 |
| 6SP60 05-9.2 | 1519 | 687 | 832 | 4" | f145 |
| 6SP60 06-11 | 1676 | 732 | 944 | 4" | f145 |
| 6SP60 07-13 | 1838 | 782 | 1056 | 4" | f145 |
| 6SP60 08-15 | 2005 | 837 | 1168 | 4" | f145 |
| 6SP60 09-18.5 | 2137 | 857 | 1280 | 4" | f145 |
1. Quvvat kalitlari
2. Kassetalarni avtomatik boshqarish
3. Quvur liniyasi
4. Vana
5. Shlangi
6. Statik daraja
7. Yuqori qutb
8. Kabel
9. Xo'sh
10. Aralashtirish darajasi
11. O'rta tayoq
12. Nasos korpusi
13. Pastki qutb
14. Suv osti elektr motorlari
| hajmi | Voltaj(v) | Quvvat (kw) | Kabel kesimi (mm²) | 0,7 mm² | 1 mm² | 1,5 mm² | 2 mm² | 2,5 mm² | 3 mm² | 4 mm² | 6 mm² | 10 mm² | 16 mm² | 25 mm² | 35 mm² | 50 mm² |
| 4" | 220 | 0.37 | Kabel uzunligi (m) | 50 | 80 | 100 | ||||||||||
| 0.55 | 35 | 55 | 80 | 105 | 130 | |||||||||||
| 0.75 | 20 | 35 | 55 | 75 | 90 | 110 | 150 | |||||||||
| 0.95 | 32 | 52 | 70 | 85 | 105 | 140 | ||||||||||
| 1.1 | 30 | 48 | 60 | 79 | 100 | 127 | 190 | |||||||||
| 1.5 | 25 | 34 | 50 | 57 | 80 | 92 | 137 | 228 | ||||||||
| 1.8 | 23 | 32 | 48 | 55 | 78 | 90 | 135 | 226 | ||||||||
| 2.2 | 22 | 30 | 43 | 50 | 68 | 102 | 170 | 230 | ||||||||
| 3.0 | 25 | 30 | 45 | 60 | 80 | 120 | 200 | 330 | ||||||||
| 3.5 | 25 | 30 | 45 | 60 | 100 | 180 | 290 | |||||||||
| 4.0 | 25 | 35 | 55 | 90 | 150 | 220 | 300 |
| hajmi | Voltaj(v) | Quvvat (kw) | Kabel kesimi (mm²) | 0,7 mm² | 1 mm² | 1,5 mm² | 2 mm² | 2,5 mm² | 3 mm² | 4 mm² | 6 mm² | 10 mm² | 16 mm² | 25 mm² | 35 mm² | 50 mm² |
| 4" | 380 | 0.37 | Kabel uzunligi (m) | 200 | 315 | |||||||||||
| 0.55 | 100 | 210 | 320 | |||||||||||||
| 0.75 | 80 | 165 | 280 | |||||||||||||
| 1.1 | 120 | 180 | 250 | 308 | ||||||||||||
| 1.5 | 90 | 150 | 200 | 250 | 300 | 400 | ||||||||||
| 2.2 | 65 | 114 | 150 | 191 | 250 | 305 | 457 | |||||||||
| 6" | 3.0 | 77 | 100 | 128 | 170 | 205 | 307 | 390 | ||||||||
| 4.0 | 61 | 80 | 102 | 120 | 153 | 244 | 406 | |||||||||
| 5.5 | 47 | 60 | 70 | 90 | 110 | 165 | 312 | |||||||||
| 7.5 | 65 | 80 | 130 | 200 | 320 | |||||||||||
| 9.2 | 72 | 108 | 178 | 282 | 432 | |||||||||||
| 11 | 63 | 94 | 155 | 246 | 370 | |||||||||||
| 13 | 78 | 129 | 205 | 314 | ||||||||||||
| 15 | 69 | 114 | 180 | 277 | ||||||||||||
| 18.5 | 55 | 91 | 145 | 222 | 305 | |||||||||||
| 22 | 49 | 81 | 128 | 196 | 290 | |||||||||||
| 25 | 68 | 107 | 165 | 226 | 314 | |||||||||||
| 30 | 60 | 95 | 145 | 200 | 275 | |||||||||||
| 37 | 52 | 82 | 125 | 170 | 234 | |||||||||||
| 45.0 | 45 | 71 | 108 | 147 | 203 |
2.5SDM zanglamaydigan po'latdan yasalgan chuqur quduq pompasi
3SDM zanglamaydigan po'latdan yasalgan chuqur quduq pompasi
3.5SDM zanglamaydigan po'latdan yasalgan chuqur quduqli nasos
4SDM zanglamaydigan po'latdan yasalgan chuqur quduq pompasi
2SDM zanglamaydigan po'latdan yasalgan chuqur quduq pompasi
6SR 6'' zanglamaydigan po'latdan yasalgan chuqur quduqli nasos